The Science

Behind our technology

The Science

Behind our technology

***Disclaimer -EMOTIV products are intended to be used for research applications and personal use only. Our products arenot sold as Medical Devicesas defined in EU directive 93/42/EEC. Our products are not designed or intended to be used for diagnosis or treatment of disease.

Spatial Resolution

Whole brain sensing

The brain is a very complex system. The frontal cortex, the region where most of your conscious thoughts and decisions are made, conducts much less than a tenth of the total activity in the brain.

Planning, modeling of your surroundings, interpretation of sensory inputs up to and including your perception of reality, memory processing and storage and the basic drivers of your moods and emotions occur in many functional regions distributed around the brain, including the visual cortex at the rear, temporal cortex at the sides, parietal cortex behind the crown of your head and the limbic system deep inside the brain. The limbic system controls your basic moods and emotions, your fight/flight response and deeper long term memory encoding as well as control of basic bodily functions such as breathing and heartbeat.

Most of these deeper functions interact intimately with different parts of the cortex (the outer layer which is accessible to EEG measurements) however the interaction is quite complex and distributed. In order to map the true activity of the brain, it is very important to measure signals from many different cortical structures located all around the brain surface. It is not possible to map these signals purely from the frontal and temporal regions. Determination of the user’s complete mental state is very poorly approximated unless signals from the rear of the brain are also considered.

With proper coverage and electrode configuration, it is possible to reconstruct a source model of all important brain regions and to see their interplay. Alternative systems missing these critical signals will tell less than half of the story. Generally they are restricted to determining level of consciousness, the amount and intensity of processing and (in some cases) the left/right hemispheric imbalance in frontal signals. While these are useful in some contexts, they provide a very limited and inaccurate view of the user’s state of mind.

The EMOTIV difference

The brain is a very complex system. The frontal cortex, the region where most of your conscious thoughts and decisions are made, conducts much less than a tenth of the total activity in the brain.

Planning, modeling of your surroundings, interpretation of sensory inputs up to and including your perception of reality, memory processing and storage and the basic drivers of your moods and emotions occur in many functional regions distributed around the brain, including the visual cortex at the rear, temporal cortex at the sides, parietal cortex behind the crown of your head and the limbic system deep inside the brain. The limbic system controls your basic moods and emotions, your fight/flight response and deeper long term memory encoding as well as control of basic bodily functions such as breathing and heartbeat.

Most of these deeper functions interact intimately with different parts of the cortex (the outer layer which is accessible to EEG measurements) however the interaction is quite complex and distributed. In order to map the true activity of the brain, it is very important to measure signals from many different cortical structures located all around the brain surface. It is not possible to map these signals purely from the frontal and temporal regions. Determination of the user’s complete mental state is very poorly approximated unless signals from the rear of the brain are also considered.

With proper coverage and electrode configuration, it is possible to reconstruct a source model of all important brain regions and to see their interplay. Alternative systems missing these critical signals will tell less than half of the story. Generally they are restricted to determining level of consciousness, the amount and intensity of processing and (in some cases) the left/right hemispheric imbalance in frontal signals. While these are useful in some contexts, they provide a very limited and inaccurate view of the user’s state of mind.

3D Brain Visualizer

Video capture of our 3D Brain Visualizer application showing activity over the entire brain and across the four major frequencies: Alpha, Beta, Theta, Gamma using our 5 channel mobile EEG headset, the EMOTIV Insight.

Note: This is not possible with single channel EEG systems limited to detections of only the frontal lobe.

Detection Algorithms

EMOTIV offers three different kinds of detection algorithms, all of them built on extensive scientific studies to develop accurate machine learning algorithms to classify and grade the intensity of different conditions.

Performance Metrics – EMOTIV currently measures 6 different cognitive states in real time – Excitement (Arousal), Interest (Valence), Stress (Frustration), Engagement/Boredom, Attention (Focus) and Meditation (Relaxation). We continue to improve and refine our performance metrics algorithms as well as build new detections. These detections were developed based on rigorous experimental studies involving volunteers for each state, where subjects were taken through experiences to elicit different levels of the desired state. They were wired up with many additional biometric measures (heart rate, respiration, blood pressure, blood volume flow, skin impedance and eye tracking), observed and recorded by a trained psychologist and also self-reported. EMOTIV performance metrics have been validated in many independent peer-reviewed studies.

Mental Commands – based on unique and highly efficient methods, EMOTIV has developed a system for users to train direct mental commands where the user trains the system to recognize thought patterns related to different desired outcomes, such as moving objects or making them disappear. The system can be trained to recognize a single command in less than 20 seconds.

Facial Expressions – muscle artifacts which commonly get rejected in laboratory EEG studies are diverted and classified to map the activation in different muscle groups and eye movement events. Our universal detections can be fine tuned for each individual to indicate 12 different facial expressions or events. Individuals with partial paralysis or unusual musculature can custom-train the activations. These events can be used to animate an avatar, detect specific responses and they may be tasked to execute commands. Combined with the on-board motion sensor, we can provide a hands-free brain-controlled mouse, adjust music volume or track skip depending on mood, and many other options. All this can be embedded into third party applications using our API platform, Cortex

Backed by Science

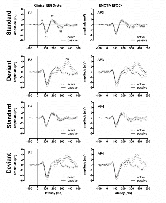
The accuracy of our technology has been validated by independent studies many times over. The following graphs show an independent comparison of a clinical grade system alongside the EMOTIV EPOC+ in an N100 auditory evoked potential study.

The EMOTIV EPOC+, which costs $799 produced statistically comparable data to the clinical system, which costs $60,000.

Click here to access the journal paper by Badcock et al., PeerJ, 2013.

For more information

Visit our independent studies section.

For more information

Visit our independent studies section.

For more information

Visit our independent studies section.

Subscribe to our Newsletter

And get access to our exclusive email discount & product announcements.

Play games with your mind, and dive into the world of BCI.

Let's play games and run experiment with our EmotivLabs.

© 2025 EMOTIV, All rights reserved.

Consent

Your Privacy Choices (Cookie Settings)

*Disclaimer – EMOTIV products are intended to be used for research applications and personal use only. Our products are not sold as Medical Devices as defined in EU directive 93/42/EEC. Our
products are not designed or intended to be used for diagnosis or treatment of disease.

© 2025 EMOTIV, All rights reserved.

Consent

Your Privacy Choices (Cookie Settings)

*Disclaimer – EMOTIV products are intended to be used for research applications and personal use only. Our products are not sold as Medical Devices as defined in EU directive 93/42/EEC. Our
products are not designed or intended to be used for diagnosis or treatment of disease.

© 2025 EMOTIV, All rights reserved.

Consent

Your Privacy Choices (Cookie Settings)

*Disclaimer – EMOTIV products are intended to be used for research applications and personal use only. Our products are not sold as Medical Devices as defined in EU directive 93/42/EEC. Our
products are not designed or intended to be used for diagnosis or treatment of disease.